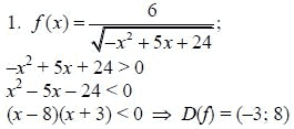
Страница (упражнение) 1 учебника. Ответ на вопрос упражнения 1 ГДЗ решебник - синий учебник по алгебре 9 класс Мордкович, Мишустина, Тульчинская