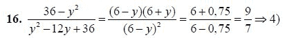
Страница (упражнение) 16 учебника. Ответ на вопрос упражнения 16 ГДЗ решебник - синий учебник по алгебре 9 класс Мордкович, Мишустина, Тульчинская