ГДЗ и решебники.
1 класс
Английский язык
Информатика
Литература
Математика
Окружающий мир
Русский язык
2 класс
Английский язык
Информатика
История
Литература
Математика
Немецкий язык
Окружающий мир
Русский язык
3 класс
Английский язык
Информатика
История
Литература
Математика
Окружающий мир
Русский язык
4 класс
Английский язык
Информатика
История
Литература
Математика
Немецкий язык
Окружающий мир
Русский язык
5 класс
Английский язык
Биология
География
Информатика
История
Математика
Немецкий язык
Обществознание
Окружающий мир
Русский язык
Физика
6 класс
Английский язык
Биология
География
Информатика
История
Математика
Немецкий язык
Обществознание
Русский язык
Физика
Химия
7 класс
Алгебра
Английский язык
Биология
География
Геометрия
Информатика
История
Литература
Немецкий язык
Обществознание
Русский язык
Физика
Химия
8 класс
Алгебра
Английский язык
Биология
География
Геометрия
Информатика
История
Литература
Немецкий язык
Обществознание
Русский язык
Физика
Химия
9 класс
Алгебра
Английский язык
Биология
География
Геометрия
История
Литература
Немецкий язык
Обществознание
Русский язык
Физика
Химия
10 класс
Алгебра
Английский язык
Биология
География
Геометрия
Немецкий язык
Русский язык
Физика
Химия
11 класс
Алгебра
Английский язык
Биология
География
Геометрия
Немецкий язык
Русский язык
Физика
Химия
ГДЗ
9 класс
7 класс
8 класс
10 класс
11 класс
Алгебра
Алгебра
Английский язык
Биология
География
Геометрия
История
Литература
Немецкий язык
Обществознание
Русский язык
Физика
Химия
Мордкович А.Г., Мишустина Т.Н., Тульчинская Е.Е.
⇐ Предыдущая страница
ГДЗ к синему учебнику по алгебре за 9 класс Мордкович
Следующая страница ⇒
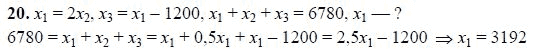
Страница 20 от ГДЗ к учебнику по алгебре за 9 класс
Увеличить
Распечатать
⇐ Предыдущая страница
Решебник к синему учебнику по алгебре за 9 класс Мордкович
Следующая страница ⇒