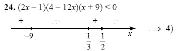
Страница (упражнение) 24 учебника. Ответ на вопрос упражнения 24 ГДЗ решебник - синий учебник по алгебре 9 класс Мордкович, Мишустина, Тульчинская