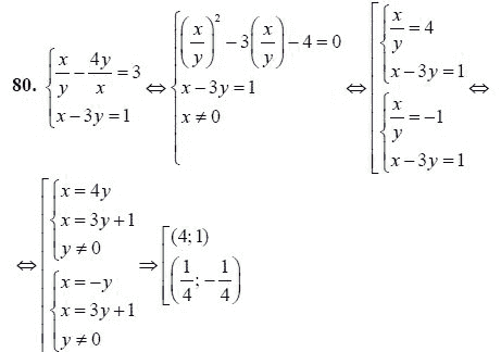
Страница (упражнение) 80 учебника. Ответ на вопрос упражнения 80 ГДЗ решебник - синий учебник по алгебре 9 класс Мордкович, Мишустина, Тульчинская