ГДЗ и решебники.
1 класс
Английский язык
Информатика
Литература
Математика
Окружающий мир
Русский язык
2 класс
Английский язык
Информатика
История
Литература
Математика
Немецкий язык
Окружающий мир
Русский язык
3 класс
Английский язык
Информатика
История
Литература
Математика
Окружающий мир
Русский язык
4 класс
Английский язык
Информатика
История
Литература
Математика
Немецкий язык
Окружающий мир
Русский язык
5 класс
Английский язык
Биология
География
Информатика
История
Математика
Немецкий язык
Обществознание
Окружающий мир
Русский язык
Физика
6 класс
Английский язык
Биология
География
Информатика
История
Математика
Немецкий язык
Обществознание
Русский язык
Физика
Химия
7 класс
Алгебра
Английский язык
Биология
География
Геометрия
Информатика
История
Литература
Немецкий язык
Обществознание
Русский язык
Физика
Химия
8 класс
Алгебра
Английский язык
Биология
География
Геометрия
Информатика
История
Литература
Немецкий язык
Обществознание
Русский язык
Физика
Химия
9 класс
Алгебра
Английский язык
Биология
География
Геометрия
История
Литература
Немецкий язык
Обществознание
Русский язык
Физика
Химия
10 класс
Алгебра
Английский язык
Биология
География
Геометрия
Немецкий язык
Русский язык
Физика
Химия
11 класс
Алгебра
Английский язык
Биология
География
Геометрия
Немецкий язык
Русский язык
Физика
Химия
ГДЗ
11 класс
7 класс
8 класс
9 класс
10 класс
Алгебра
Алгебра
Английский язык
Биология
География
Геометрия
Немецкий язык
Русский язык
Физика
Химия
Сканави М.И.
⇐ Предыдущая страница
ГДЗ к белой рабочей тетради по алгебре за 11 класс Сканави
Следующая страница ⇒
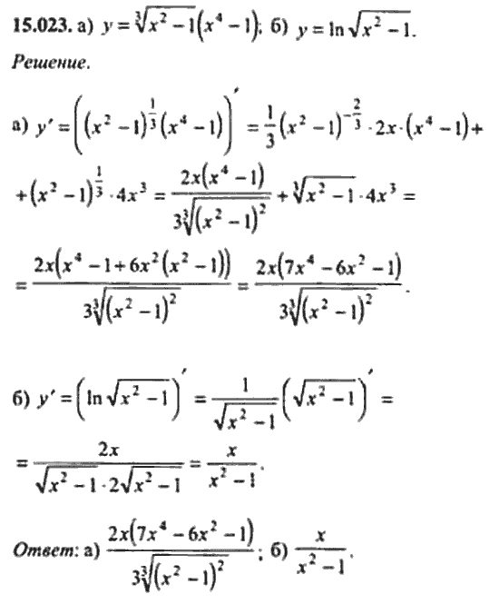
Задание 15_023 от ГДЗ к рабочей тетради по алгебре за 11 класс
Увеличить
Распечатать
⇐ Предыдущая страница
Решебник к белой рабочей тетради по алгебре за 11 класс Сканави
Следующая страница ⇒